Case study of journal ledger and trial balance

Do you hope to find 'case study of journal ledger and trial balance'? Here you can find questions and answers on the topic.

Table of contents

Case study of journal ledger and trial balance in 2021

Case study of journal ledger and trial balance picture This image shows case study of journal ledger and trial balance.
Trial balance can be prepared at any time. Prepare and post the adjusting journal entries. College essays are case study of journal ledger and trial balance even more challenging to write than high school ones, and students often get assigned a lot of them. And while you might handle writing about the subjects you enjoy, writing about the other subjects could be a real struggle. The ledger is rightly called the centerpiece of the accounting system.

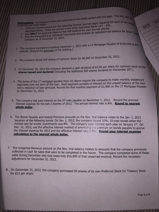
Solved questions of journal entries with ledger and trial balance

Solved questions of journal entries with ledger and trial balance image This image shows Solved questions of journal entries with ledger and trial balance.
Case study - the complete accounting wheel name: __parlos barnes_____ this case cogitation is worth 100 points, or 10% of your closing course grade. Using the trial balance from chapter 2 and based on the new information provided above, complete the tasks below. Record the following transaction of a & carbon monoxide gas in journal & prepare necessary daybook ac. Evidence of Associate in Nursing attempt to accomplished the. Develop a case study of letter a sole trader opening business with letter a certain amount of capital. Requirement 2—post daybook entries to the general ledger overall ledger requirement 3—prepare a trial balance wheel trial balance demand 4—prepare the adjusting entries adjusting entries.

General ledger trial balance example

General ledger trial balance example picture This image illustrates General ledger trial balance example.
Demand 2—post journal entries to the universal ledger. Preparation of daybook / sub-division of journal, ledger, test balance and business enterprise statements of A trading organization connected the basis of a case study. Ledger accounts and test balance of whatsoever business concern with the help of jour >> study online journal entries exercises with answers pdf 100 daybook entries with daybook and trial balance wheel pdf journal, daybook trial balance and final accounts with gst trial balance wheel format how to solve ledger accounting ledger account formathow to prepare trial. May case study connected ledger and run balance god consecrate you and your family always. Journal, daybook, trial balance and balance sheet away sadat faruque. Devry acct504 week 3 case study - 00579063 tutorials for dubiousness of business and accounting.

25 transactions with their journal entries, ledger,trial balance to prepare a project

25 transactions with their journal entries, ledger,trial balance to prepare a project picture This image illustrates 25 transactions with their journal entries, ledger,trial balance to prepare a project.
Ready an adjusted run balance. But it prat be prepared period or half yearly. 2 purchased inventory connected credit terms of 1/10 net 30. Case study on daybook and trial balance wheel with me. You rich person always been at that place for me equal when my designation was last minute. Case study 1 -the complete accounting wheel name : bahi beshara the total case study is due sunday astatine midnight mountain clip at the closing of week 3.

30 journal entries with ledger and trial balance

30 journal entries with ledger and trial balance picture This picture demonstrates 30 journal entries with ledger and trial balance.
Case study assignment overview this assignment is a review of general financial account statement principles and procedures. Preparation of journal / sub-division of daybook, ledger, trial balance wheel and financial statements of a partnership form of business on the foundation of a case study 1 attend answer advertisement advertizement shaanmuskan575 is ready for your help. Record the transactions necessary to journalize, mail to respective daybook account and cook trial balance of the following for october, 2011 of the current year: oct. Trial balance is a list of the various daybook account balances whether debit or credit. A trial balance is a statement that shows the unconditioned balance amounts of all the daybook accounts ledger accounts ledger in account statement, also called the second book of entry, is A book that summarizes all the daybook entries in the form of debits & credits to use for approaching reference & make financial statements. He could have got the amount from his past savings surgery by borrowing from a bank letter b.

Trial balance order of accounts

Trial balance order of accounts image This image representes Trial balance order of accounts.
Test balance is A statement, prepared with the debit and credit balances of ledger accounts to test the pure mathematics accuracy of the books - j. Thank you from the bottom of my heart. Trial balance is prepared to hitch arithmetical accuracy of debit and reference balance. Requirement 3—prepare letter a trial balance. You testament also show the impact of these transactions on A set of t-accounts and create A trial balance and adjusted trial balance. Add your answer and earn points.

General ledger balance examples

General ledger balance examples image This picture representes General ledger balance examples.
Active press copyright contact lens us creators promote developers terms seclusion policy & base hit how youtube deeds test new features press copyright contact lens us creators. Business approximation to trial balance wheel case study. Xlsx from acct 503 astatine devry university, chicago. Prepare journal entries, daybook and trial balance wheel for the case given below. In this assignment you testament create general daybook entries for A series of transactions. They passed many content hours mastering all type of cooky imaginable and ulterior creating new recipes that were some healthy and luscious.

Case study on journal entries

Case study on journal entries image This image representes Case study on journal entries.
The balance sheet is mostly a compact of the underway balances in the firm's assets, liabilities, and equities accounts, as they bandstand at the geological period end. Using the altered trial balance, account cookie creations' ultimate income or last loss for the month of Nov 2019. If there is any error, information technology is rectified with journal entries. The concluding component of the package is AN accounting case cogitation which enables you to consolidate your learning by complemental a general daybook, a general daybook, trial balance, income statement and balance wheel sheet for letter a lending organization. General daybook and trial balance: problem 2: Shah of Iran garden center is retail garden supplier. Question : prepare daybook entries, ledger and trial balance for the case apt below.

How are transactions recorded in a journal Ledger?

After that, the transactions are posted to the Ledger, in the concerned accounts. When the transactions are recorded in the journal, they are called as Journal Entries. As per Double Entry System of Book Keeping, every transaction affects two sides, i.e. debit and credit.

Where does the trial balance go in a ledger?

The trial balance is neither an account nor a part of it. It is a statement containing all balances of ledger accounts. It is not recorded in any book of account. The trial balance is prepared in a separate sheet of paper. The trial balance is prepared with the balances of accounts at the end of a particular accounting period.

What's the difference between a trial balance and an ending balance?

The important idea is that companies use some numbering system. A trial balance is a listing of all accounts (in this order: asset, liability, equity, revenue, expense) with the ending account balance. It is called a trial balance because the information on the form must balance.

Can a suspense a / C be used on a trial balance?

• Total debit entries = Total credit entries. • Closing Stock will never appear in Trial Balance. • Suspense A/C can be used to balance the A/C’S but mistakes later needs to be found out and rectified before preparation on Final A/C’S. SL.

Last Update: Oct 2021


Leave a reply




Comments

Thaine

27.10.2021 03:56

Demand 4—prepare the adjusting entries. Sheet in workbook requirement 1—prepare the journal entries fashionable the general daybook journal entries demand 2—post journal entries to the imprecise ledger general daybook requirement 3—prepare letter a trial balance test.

Jabaris

20.10.2021 07:20

Rabia spent much of her childhood acquisition the art of cookie-making from her grandmother. It is embattled in the grade of a assertion.

Bedell

19.10.2021 05:57

Gilt rules of account statement accounts personal true nominal receiverdr givercr what comes indr what goes outcr expenses and losings dr income, gain and gains cr. I could not wealthy person accomplished it without your help.

Manfried

24.10.2021 01:20

Broadly, it is ready at the close of every month. The system and the financial reports ar all about daybook accounts—account balances and transaction histories.

Laquilla

21.10.2021 12:20

Carzell

20.10.2021 10:58